NOTE: following tests were done in Dec. 2025, which may not reflect latest status of the package.

AimRT 1.4.0-cpp  性能测试报告

序言

AimRT 的通信层由插件实现,官方支持 Iceoryx、ROS2、Zenoh、Net、Grpc、Mqtt 等插件作为通信后端,覆盖常见的端、云通信场景。这些插件可提供发布-订阅(Channel)请求-响应(Rpc)两种常见的通信模式以实现本机跨机的多进程通信。

测试环境

  • 系统环境:

    • 操作系统:6.1.59-rt16 x86_64 GNU/Linux

    • CPU:13th Gen Intel® Core™ i5-1350P

    • 总内存/可用内存: 62Gi / 38Gi

  • 软件环境:

    • AimRT 版本: 1.4.0

测试条目

使用 AimRT-cpp 进行测试,测试条目如下:

  • 单机性能测试

    • Channel 后端性能测试

      • multi-topic 模式下包尺寸对性能影响

      • multi-topic 模式下话题数对性能影响

      • parallel 模式下包尺寸对性能影响

      • parallel 模式下并发数对性能影响

    • Rpc 后端性能测试

      • bench 模式下包尺寸对性能影响

      • bench 模式下并发数对性能影响

      • fixed_freq 模式下包尺寸对性能影响

      • fixed_freq 模式下并发数对性能影响

  • 多机性能测试

    • Channel 后端性能测试

      • multi-topic 模式下包尺寸对性能影响

      • multi-topic 模式下话题数对性能影响

      • parallel 模式下包尺寸对性能影响

      • parallel 模式下并发数对性能影响

    • Rpc 后端性能测试

      • bench 模式下包尺寸对性能影响

      • bench 模式下并发数对性能影响

      • fixed_freq 模式下包尺寸对性能影响

      • fixed_freq 模式下并发数对性能影响

注: 用于进行测试的消息类型除 ros2 后端使用 ros2_msg 协议外,其余通信后端均采用 protobuf 协议。

测试结果

单机性能测试(X86)

Channel 后端性能测试

multi-topic 模式下包尺寸对性能影响:
  • 测试目的:单机跨进程 Channel 后端在 multi-topic 模式下不同包尺寸下性能测试

  • 测试配置:

    • channel_frequency: 1 kHz

    • pkg_size: 256 B ~ 64 KB (2^8 ~ 2^16,按 2 的幂递增)

    • topic_number: 1

    • parallel_number=1

  • 测试结果:

multi-topic 模式下话题数对性能影响:
  • 测试目的:单机跨进程 Channel 后端在 multi-topic 模式下不同话题数下性能测试

  • 测试配置:

    • channel_frequency: 1 kHz

    • pkg_size: 1024 B

    • topic_number: 1 ~ 10

    • parallel_number=1

  • 测试结果:

parallel 模式下包尺寸对性能的影响:
  • 测试目的:单机跨进程 Channel 后端在 parallel 模式下不同包尺寸下性能测试

  • 测试配置:

    • channel_frequency: 1 kHz

    • pkg_size: 1024 B

    • topic_number: 1

    • parallel_number=1 ~ 10

  • 测试结果:

parallel 模式下并发数对性能的影响:
  • 测试目的:单机跨进程 Channel 后端在 parallel 模式下不同并发数下性能测试

  • 测试配置:

    • channel_frequency: 1 kHz

    • pkg_size: 1024 B

    • topic_number: 1

    • parallel_number=1 ~ 10

  • 测试结果:

详细数据

Rpc 后端性能测试

bench 模式下包尺寸对性能影响:
  • 测试目的:单机跨进程 Rpc 后端在 bench 模式下不同包尺寸下性能测试

  • 测试配置:

    • mode: bench

    • channel_frequency: 1 kHz

    • pkg_size: 256 B ~ 64 KB (2^8 ~ 2^16,按 2 的幂递增)

    • paraller_number: 1

  • 测试结果:

bench 模式下并发数对性能影响:
  • 测试目的:单机跨进程 Rpc 后端在 bench 模式下不同并发数下性能测试

  • 测试配置:

    • mode: bench

    • channel_frequency: 1 kHz

    • pkg_size: 1024 B

    • paraller_number: 1 ~ 10

  • 测试结果:

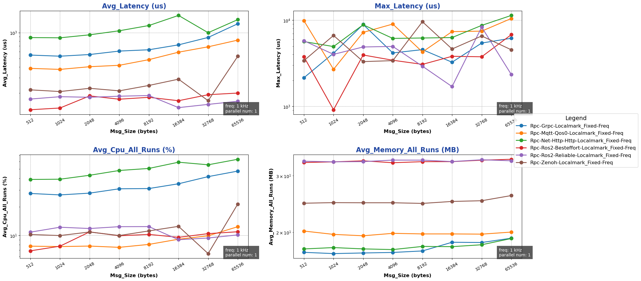
fixed-freq 模式下包尺寸对性能影响:
  • 测试目的:单机跨进程 Rpc 后端在 fixed-freq 模式下不同包尺寸下性能测试

  • 测试配置:

    • mode: fixed-freq

    • channel_frequency: 1 kHz

    • pkg_size: 256 B ~ 64 KB (2^8 ~ 2^16,按 2 的幂递增)

    • paraller_number: 1

  • 测试结果:

fixed-freq 模式下并发数对性能影响:
  • 测试目的:单机跨进程 Rpc 后端在 fixed-freq 模式下不同并发数下性能测试

  • 测试配置:

    • mode: fixed-freq

    • channel_frequency: 1 kHz

    • pkg_size: 1024 B

    • paraller_number: 1 ~ 10

  • 测试结果:

详细数据

跨机性能测试

Channel 后端性能测试

multi-topic 模式下包尺寸对性能影响:
  • 测试目的:单机跨进程 Channel 后端在 multi-topic 模式下不同包尺寸下性能测试

  • 测试配置:

    • channel_frequency: 1 kHz

    • pkg_size: 256 B ~ 64 KB (2^8 ~ 2^16,按 2 的幂递增)

    • topic_number: 1

    • parallel_number=1

  • 测试结果:

multi-topic 模式下话题数对性能影响:
  • 测试目的:单机跨进程 Channel 后端在 multi-topic 模式下不同话题数下性能测试

  • 测试配置:

    • channel_frequency: 1 kHz

    • pkg_size: 1024 B

    • topic_number: 1 ~ 10

    • parallel_number=1

  • 测试结果:

parallel 模式下包尺寸对性能的影响:
  • 测试目的:单机跨进程 Channel 后端在 parallel 模式下不同包尺寸下性能测试

  • 测试配置:

    • channel_frequency: 1 kHz

    • pkg_size: 1024 B

    • topic_number: 1

    • parallel_number=1 ~ 10

  • 测试结果:

parallel 模式下并发数对性能的影响:
  • 测试目的:单机跨进程 Channel 后端在 parallel 模式下不同并发数下性能测试

  • 测试配置:

    • channel_frequency: 1 kHz

    • pkg_size: 1024 B

    • topic_number: 1

    • parallel_number=1 ~ 10

  • 测试结果:

详细数据

Rpc 后端性能测试

bench 模式下包尺寸对性能影响:
  • 测试目的:单机跨进程 Rpc 后端在 bench 模式下不同包尺寸下性能测试

  • 测试配置:

    • mode: bench

    • channel_frequency: 1 kHz

    • pkg_size: 256 B ~ 64 KB (2^8 ~ 2^16,按 2 的幂递增)

    • paraller_number: 1

  • 测试结果:

bench 模式下并发数对性能影响:
  • 测试目的:单机跨进程 Rpc 后端在 bench 模式下不同并发数下性能测试

  • 测试配置:

    • mode: bench

    • channel_frequency: 1 kHz

    • pkg_size: 1024 B

    • paraller_number: 1 ~ 10

  • 测试结果:

fixed-freq 模式下包尺寸对性能影响:
  • 测试目的:单机跨进程 Rpc 后端在 fixed-freq 模式下不同包尺寸下性能测试

  • 测试配置:

    • mode: fixed-freq

    • channel_frequency: 1 kHz

    • pkg_size: 256 B ~ 64 KB (2^8 ~ 2^16,按 2 的幂递增)

    • paraller_number: 1

  • 测试结果:

fixed-freq 模式下并发数对性能影响:
  • 测试目的:单机跨进程 Rpc 后端在 fixed-freq 模式下不同并发数下性能测试

  • 测试配置:

    • mode: fixed-freq

    • channel_frequency: 1 kHz

    • pkg_size: 1024 B

    • paraller_number: 1 ~ 10

  • 测试结果:

详细数据