| NOTE: following tests were done in September. 2025, which may not reflect latest status of the package. |
AimRT 1.2.0-cpp 性能测试报告
序言
AimRT 的通信层由插件实现,官方支持 Iceoryx、ROS2、Zenoh、Net、Grpc、Mqtt 等插件作为通信后端,覆盖常见的端、云通信场景。这些插件可提供发布-订阅(Channel)和请求-响应(Rpc)两种常见的通信模式以实现本机和跨机的多进程通信。
测试环境
系统环境:
操作系统:6.1.59-rt16 x86_64 GNU/Linux
CPU:13th Gen Intel® Core™ i5-1350P
总内存/可用内存: 62Gi / 38Gi
软件环境:
AimRT 版本: 1.2.0
测试条目
使用 AimRT-cpp 进行测试,测试条目如下:
单机性能测试
Channel 后端性能测试
multi-topic 模式下包尺寸对性能影响
multi-topic 模式下话题数对性能影响
parallel 模式下包尺寸对性能影响
parallel 模式下并发数对性能影响
Rpc 后端性能测试
bench 模式下包尺寸对性能影响
bench 模式下并发数对性能影响
fixed_freq 模式下包尺寸对性能影响
fixed_freq 模式下并发数对性能影响
多机性能测试
Channel 后端性能测试
multi-topic 模式下包尺寸对性能影响
multi-topic 模式下话题数对性能影响
parallel 模式下包尺寸对性能影响
parallel 模式下并发数对性能影响
Rpc 后端性能测试
bench 模式下包尺寸对性能影响
bench 模式下并发数对性能影响
fixed_freq 模式下包尺寸对性能影响
fixed_freq 模式下并发数对性能影响
注: 用于进行测试的消息类型除 ros2 后端使用 ros2_msg 协议外,其余通信后端均采用 protobuf 协议。
测试结果
单机性能测试(X86)
Channel 后端性能测试
multi-topic 模式下包尺寸对性能影响:
测试目的:单机跨进程 Channel 后端在 multi-topic 模式下不同
包尺寸下性能测试测试配置:
channel_frequency: 1 kHz
pkg_size: 256 B ~ 64 KB (2^8 ~ 2^16,按 2 的幂递增)
topic_number: 1
parallel_number=1
测试结果:

multi-topic 模式下话题数对性能影响:
测试目的:单机跨进程 Channel 后端在 multi-topic 模式下不同
话题数下性能测试测试配置:
channel_frequency: 1 kHz
pkg_size: 1024 B
topic_number: 1 ~ 10
parallel_number=1
测试结果:

parallel 模式下包尺寸对性能的影响:
测试目的:单机跨进程 Channel 后端在 parallel 模式下不同
包尺寸下性能测试测试配置:
channel_frequency: 1 kHz
pkg_size: 1024 B
topic_number: 1
parallel_number=1 ~ 10
测试结果:

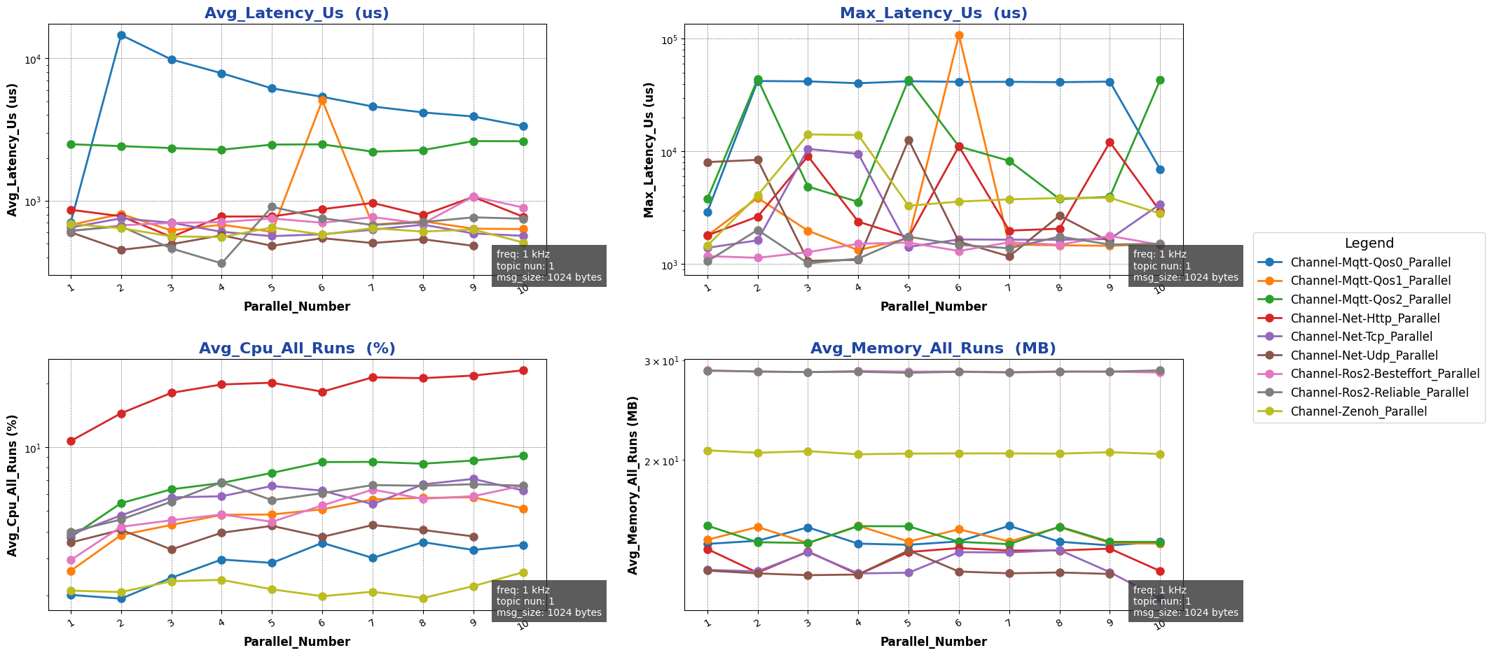
parallel 模式下并发数对性能的影响:
测试目的:单机跨进程 Channel 后端在 parallel 模式下不同
并发数下性能测试测试配置:
channel_frequency: 1 kHz
pkg_size: 1024 B
topic_number: 1
parallel_number=1 ~ 10
测试结果:

Rpc 后端性能测试
bench 模式下包尺寸对性能影响:
测试目的:单机跨进程 Rpc 后端在 bench 模式下不同
包尺寸下性能测试测试配置:
mode: bench
channel_frequency: 1 kHz
pkg_size: 256 B ~ 64 KB (2^8 ~ 2^16,按 2 的幂递增)
paraller_number: 1
测试结果:

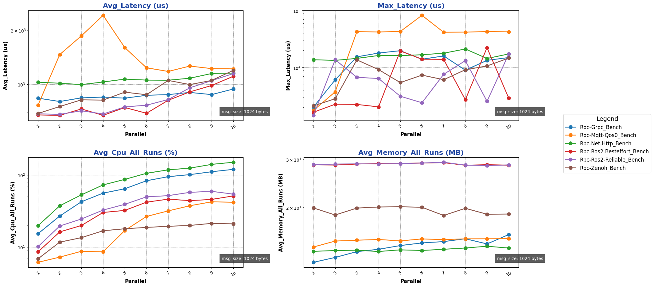
bench 模式下并发数对性能影响:
测试目的:单机跨进程 Rpc 后端在 bench 模式下不同
并发数下性能测试测试配置:
mode: bench
channel_frequency: 1 kHz
pkg_size: 1024 B
paraller_number: 1 ~ 10
测试结果:

fixed-freq 模式下包尺寸对性能影响:
测试目的:单机跨进程 Rpc 后端在 fixed-freq 模式下不同
包尺寸下性能测试测试配置:
mode: fixed-freq
channel_frequency: 1 kHz
pkg_size: 256 B ~ 64 KB (2^8 ~ 2^16,按 2 的幂递增)
paraller_number: 1
测试结果:

fixed-freq 模式下并发数对性能影响:
测试目的:单机跨进程 Rpc 后端在 fixed-freq 模式下不同
并发数下性能测试测试配置:
mode: fixed-freq
channel_frequency: 1 kHz
pkg_size: 1024 B
paraller_number: 1 ~ 10
测试结果:

跨机性能测试
Channel 后端性能测试
multi-topic 模式下包尺寸对性能影响:
测试目的:单机跨进程 Channel 后端在 multi-topic 模式下不同
包尺寸下性能测试测试配置:
channel_frequency: 1 kHz
pkg_size: 256 B ~ 64 KB (2^8 ~ 2^16,按 2 的幂递增)
topic_number: 1
parallel_number=1
测试结果:

multi-topic 模式下话题数对性能影响:
测试目的:单机跨进程 Channel 后端在 multi-topic 模式下不同
话题数下性能测试测试配置:
channel_frequency: 1 kHz
pkg_size: 1024 B
topic_number: 1 ~ 10
parallel_number=1
测试结果:

parallel 模式下包尺寸对性能的影响:
测试目的:单机跨进程 Channel 后端在 parallel 模式下不同
包尺寸下性能测试测试配置:
channel_frequency: 1 kHz
pkg_size: 1024 B
topic_number: 1
parallel_number=1 ~ 10
测试结果:

parallel 模式下并发数对性能的影响:
测试目的:单机跨进程 Channel 后端在 parallel 模式下不同
并发数下性能测试测试配置:
channel_frequency: 1 kHz
pkg_size: 1024 B
topic_number: 1
parallel_number=1 ~ 10
测试结果:

Rpc 后端性能测试
bench 模式下包尺寸对性能影响:
测试目的:单机跨进程 Rpc 后端在 bench 模式下不同
包尺寸下性能测试测试配置:
mode: bench
channel_frequency: 1 kHz
pkg_size: 256 B ~ 64 KB (2^8 ~ 2^16,按 2 的幂递增)
paraller_number: 1
测试结果:

bench 模式下并发数对性能影响:
测试目的:单机跨进程 Rpc 后端在 bench 模式下不同
并发数下性能测试测试配置:
mode: bench
channel_frequency: 1 kHz
pkg_size: 1024 B
paraller_number: 1 ~ 10
测试结果:

fixed-freq 模式下包尺寸对性能影响:
测试目的:单机跨进程 Rpc 后端在 fixed-freq 模式下不同
包尺寸下性能测试测试配置:
mode: fixed-freq
channel_frequency: 1 kHz
pkg_size: 256 B ~ 64 KB (2^8 ~ 2^16,按 2 的幂递增)
paraller_number: 1
测试结果:

fixed-freq 模式下并发数对性能影响:
测试目的:单机跨进程 Rpc 后端在 fixed-freq 模式下不同
并发数下性能测试测试配置:
mode: fixed-freq
channel_frequency: 1 kHz
pkg_size: 1024 B
paraller_number: 1 ~ 10
测试结果:
